Ershanda N
01 November 2025 14:17
Iklan
Ershanda N
01 November 2025 14:17
Pertanyaan
please... ini gimana cara ngerjainnya??? someone pls help me

34
2
Iklan
Louis D
01 November 2025 14:27
(2³)⁸ × (2³)³/(2³)⁴= (2³)⁷
tiap pangkat di kali, trus karna sama bilnya 2 pangkatnya semua ditambah
24 + 9-12 = 21
21=21 (benar)
· 0.0 (0)
Ershanda N
01 November 2025 14:30
tysm kak!
Iklan
Nia A
01 November 2025 15:14
Pernyataan 1 = benar
Pernyataan 2 = benar
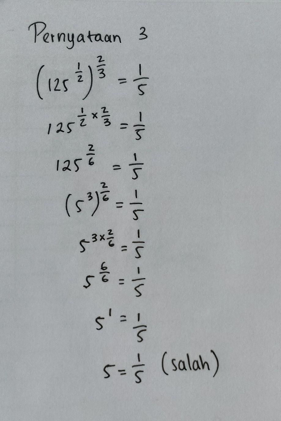
Pernyataan 3 = salah



· 0.0 (0)
Tanya ke AiRIS
Yuk, cobain chat dan belajar bareng AiRIS, teman pintarmu!

LATIHAN SOAL GRATIS!
Drill Soal
Latihan soal sesuai topik yang kamu mau untuk persiapan ujian


Perdalam pemahamanmu bersama Master Teacher
di sesi Live Teaching, GRATIS!