Silka R

25 April 2025 06:23
Iklan
Silka R

25 April 2025 06:23
Pertanyaan
permisi, boleh bantu jawab ngga yaa?

4
2
Iklan
E. Nur
25 April 2025 22:53
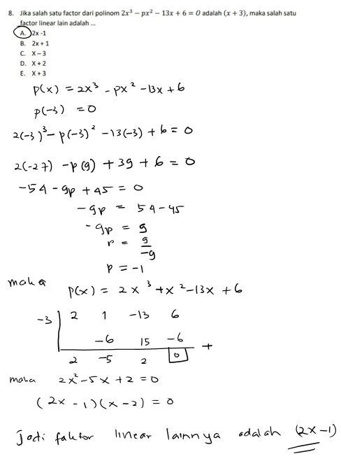
Jawaban : A. (2x - 1)
Pembahasan pada gambar terlampir
· 0.0 (0)
Iklan
Ramdan M
30 April 2025 09:15
Jangan Terima yang telah ditetapkan
· 0.0 (0)
Tanya ke AiRIS
Yuk, cobain chat dan belajar bareng AiRIS, teman pintarmu!

LATIHAN SOAL GRATIS!
Drill Soal
Latihan soal sesuai topik yang kamu mau untuk persiapan ujian


Perdalam pemahamanmu bersama Master Teacher
di sesi Live Teaching, GRATIS!