Alifah N
05 Juni 2024 14:29
Iklan
Alifah N
05 Juni 2024 14:29
Pertanyaan
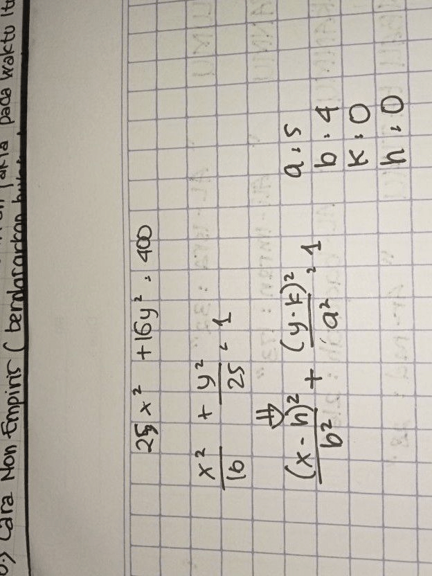
panjang sumbu minor 25x²+16y²= 400
3
1
Iklan
Navniaaa N
10 Juni 2024 01:11
hasil di gambar


· 0.0 (0)
Iklan
Tanya ke AiRIS
Yuk, cobain chat dan belajar bareng AiRIS, teman pintarmu!

LATIHAN SOAL GRATIS!
Drill Soal
Latihan soal sesuai topik yang kamu mau untuk persiapan ujian


Perdalam pemahamanmu bersama Master Teacher
di sesi Live Teaching, GRATIS!