Owlyn O
11 Agustus 2024 12:26
Iklan
Owlyn O
11 Agustus 2024 12:26
Pertanyaan
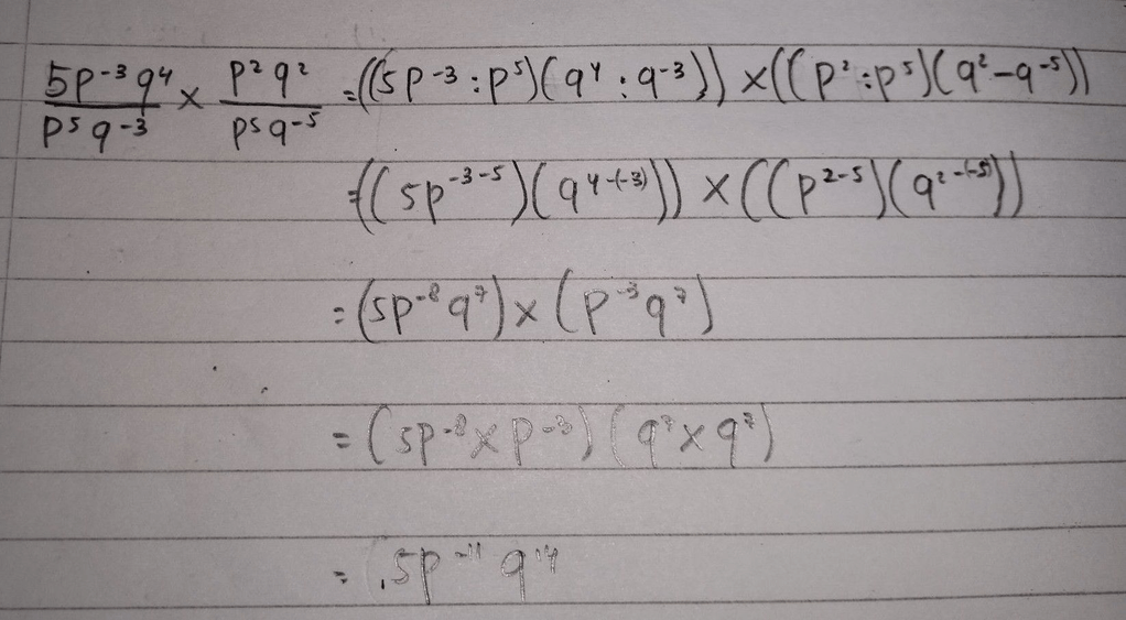
nyatakanlah bentuk berikut ke dalam bentuk sederhana eksponen

1
1
Iklan
Ace'S W
11 Agustus 2024 13:18
CMIIW

· 5.0 (1)
Iklan
Tanya ke AiRIS
Yuk, cobain chat dan belajar bareng AiRIS, teman pintarmu!

LATIHAN SOAL GRATIS!
Drill Soal
Latihan soal sesuai topik yang kamu mau untuk persiapan ujian


Perdalam pemahamanmu bersama Master Teacher
di sesi Live Teaching, GRATIS!