Brilliana C

28 Juli 2025 04:55
Iklan
Brilliana C

28 Juli 2025 04:55
Pertanyaan
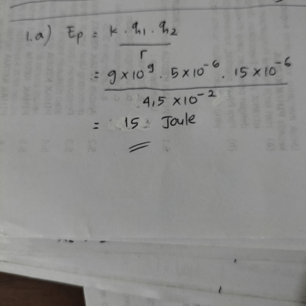
nomer 1 yang a

4
1
Iklan
T. Asistant
28 Juli 2025 22:44

· 0.0 (0)
Iklan
Tanya ke AiRIS
Yuk, cobain chat dan belajar bareng AiRIS, teman pintarmu!

LATIHAN SOAL GRATIS!
Drill Soal
Latihan soal sesuai topik yang kamu mau untuk persiapan ujian


Perdalam pemahamanmu bersama Master Teacher
di sesi Live Teaching, GRATIS!