Diana J
27 Maret 2025 03:25
Iklan
Diana J
27 Maret 2025 03:25
Pertanyaan
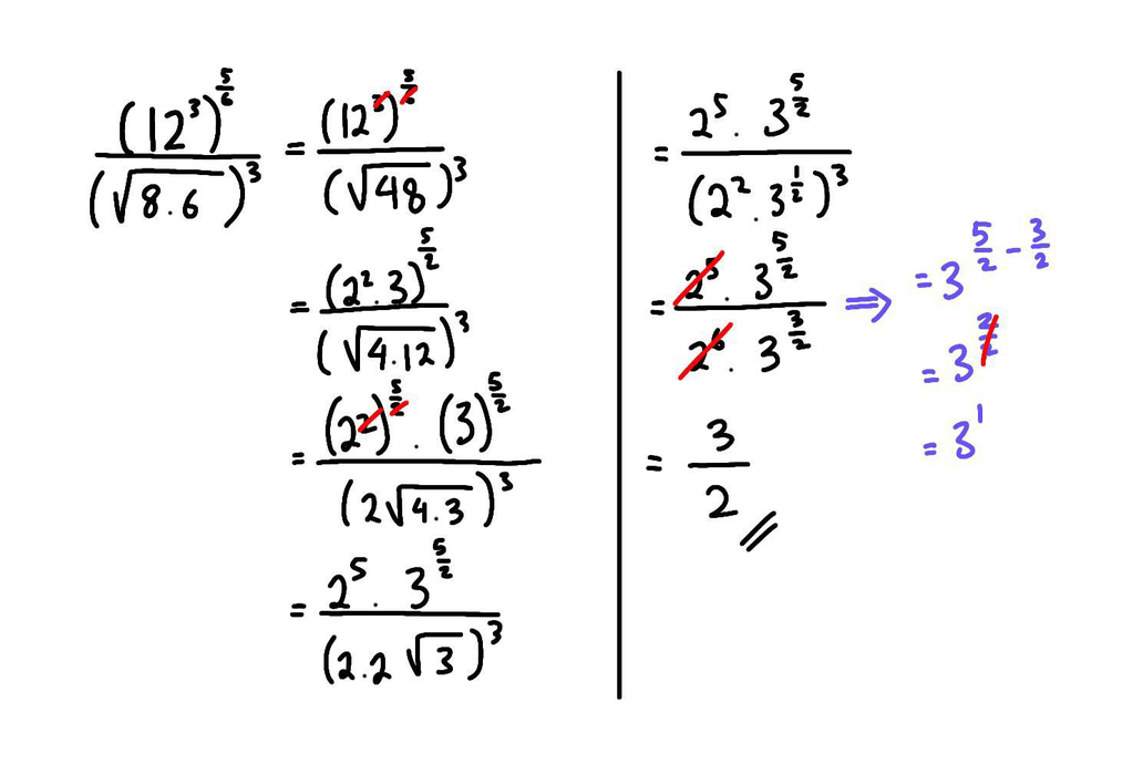
Nilai bentuk dari pertanyaa dibawah adalah?
A. 9/4
B. 4/3
C. 3/2
D. 2/3
E. 4/9

1
1
Iklan
Ajaajaaja A
01 April 2025 23:00
Halo...
Saya bantu jawab yah. Jadi, ada beberapa bilangan yang perlu diubah, kek bilangan yang di dalam akar tuh bisa diubah jadi bilangan dengan pangkat pecahan.
Lalu, bilangan akar juga bisa diubah lagi ke bentuk lain, misal bilangan yang gabisa diakarkan sempurna itu bisa dipecah jadi bilangan yang bisa dikeluarkan dari akar.
Nah, saya udah bikin pengerjaannya. Saya harap bisa membantu :3

· 5.0 (1)
Iklan
Tanya ke AiRIS
Yuk, cobain chat dan belajar bareng AiRIS, teman pintarmu!
Roboguru Plus
Dapatkan pembahasan soal ga pake lama, langsung dari Tutor!


Perdalam pemahamanmu bersama Master Teacher
di sesi Live Teaching, GRATIS!