Nada S
13 Agustus 2024 13:01
Iklan
Nada S
13 Agustus 2024 13:01
Pertanyaan
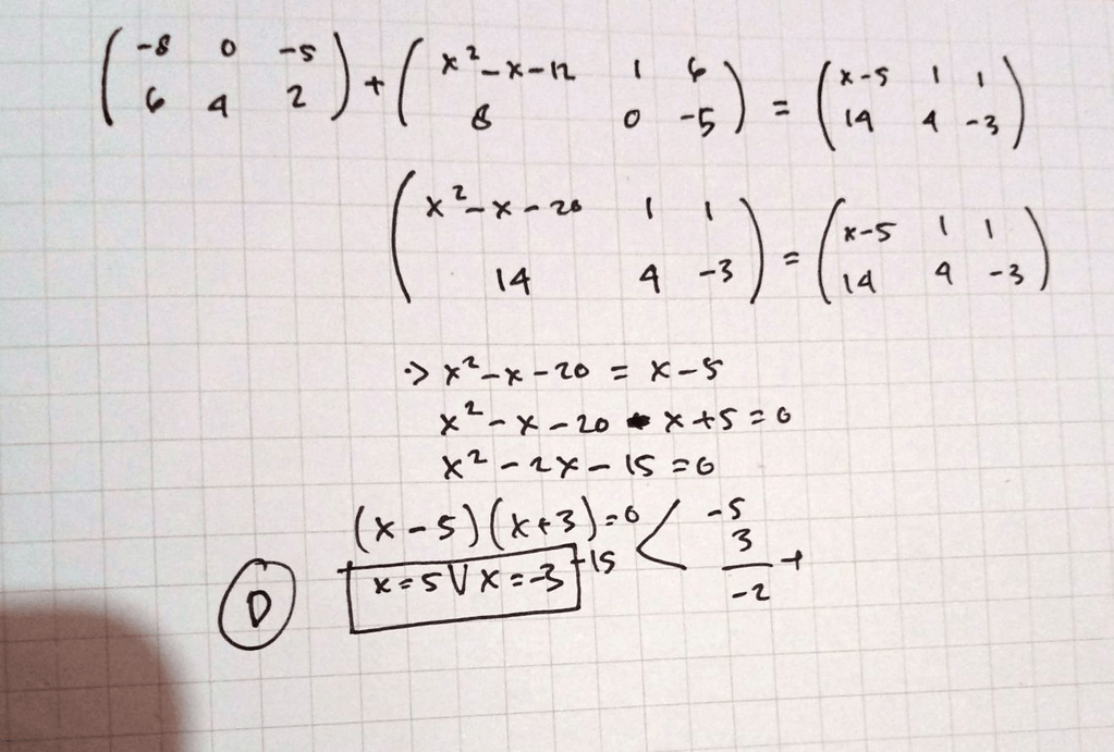
mohon di bantu ๐๐ผ

2
2
Iklan
Rei R
13 Agustus 2024 13:07
D. -3 dan 5

ยท 5.0 (1)
Nada S
13 Agustus 2024 13:11
terimakassihh
Iklan
Samudra A

Community
13 Agustus 2024 13:11
Ngga perlu jumlahkan matriksnya, tinggal lihat bagian yg mengandung nilai x nya (yg mana cuman bagian baris 1 kolom 1 yg ada x nya, selain itu semua cuman angka biasa), jadi kita fokus pada satu itu doang aja.
Hemat wektune
Jawaban : D. -3 atau 5
~atminsibukospek

ยท 5.0 (1)
Nada S
13 Agustus 2024 13:11
terimakassihh
Tanya ke AiRIS
Yuk, cobain chat dan belajar bareng AiRIS, teman pintarmu!

LATIHAN SOAL GRATIS!
Drill Soal
Latihan soal sesuai topik yang kamu mau untuk persiapan ujian


Perdalam pemahamanmu bersama Master Teacher
di sesi Live Teaching, GRATIS!