Nabil A
19 Oktober 2025 12:38
Iklan
Nabil A
19 Oktober 2025 12:38
Pertanyaan
Mohon bantuannya

4
1
Iklan
Muhammad R
19 Oktober 2025 14:56
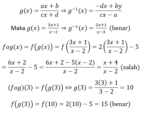
Kesimpulan
Benar
Salah
Benar

· 5.0 (1)
Iklan
Tanya ke AiRIS
Yuk, cobain chat dan belajar bareng AiRIS, teman pintarmu!

LATIHAN SOAL GRATIS!
Drill Soal
Latihan soal sesuai topik yang kamu mau untuk persiapan ujian


Perdalam pemahamanmu bersama Master Teacher
di sesi Live Teaching, GRATIS!