Aidil F
Ditanya 10 jam yang lalu
Iklan
Aidil F
Ditanya 10 jam yang lalu
Pertanyaan
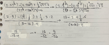
mohon bantuannya temen temen..

0
1
Iklan
Nadya A
Dijawab 5 jam yang lalu
maaf kalau ga kebaca dan salahh ππ»

Β· 5.0 (1)
Iklan
Tanya ke AiRIS
Yuk, cobain chat dan belajar bareng AiRIS, teman pintarmu!

LATIHAN SOAL GRATIS!
Drill Soal
Latihan soal sesuai topik yang kamu mau untuk persiapan ujian


Perdalam pemahamanmu bersama Master Teacher
di sesi Live Teaching, GRATIS!