Lulla L
08 Juli 2024 16:03
Iklan
Lulla L
08 Juli 2024 16:03
Pertanyaan
Mohon bantuannya kakak² ini jawaban yg benarnya apaya??



1
1
Iklan
Raufa Z

Community
09 Juli 2024 07:13
Baik terima kasih atas pertanyaannya
Berikut adalah solusi dari pertanyaan-pertanyaan tersebut :
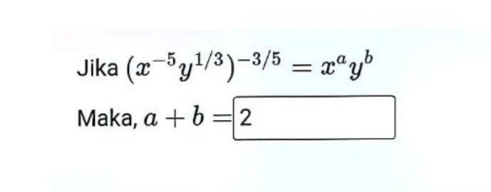
(x^{-5}y^{1/3})^{-3/5} = x^{a}y^{b}
x^{3}y^{-1/5} = x^{a}y^{b}
a = 3, b = -1/5
a+b = 3 - 1/5 = 14/5
4x^2 - 8x + 3 = 0
(4x - 6)(x - 1/2) = 0
x = 3/2 atau 1/2
x_{2} ≥ x_{1}
x_{2} = 3/2
x_{1} = 1/2
x_{2}^{2} - x_{1}^{2}
(3^2)^2 - (1/2)^2
(3/2 + 1/2)(3/2 - 1/2) = 2
(x^{4}y^{2}z^{2})^{1/4} = x^{a}y^{b}z^{c}
xy^{1/2}z^{1/2} = x^{a}y^{b}z^{c}
a = 1
b = 1/2
c = 1/2
a+b+c = 1 + 1/2 + 1/2 = 2
Cos (2x) ≠ 1 - cos^{2}(x)
cos(2x) = cos^{2}x - sin^{2}x
= cos^{2}x - (1 - cos^{2}x) [Sebab cos^{2}x + sin^{2}x = 1 ⇒ sin^{2}x = 1 - cos^{2}x]
= cos^{2}x - 1 + cos^{2}x
= 2cos^{2}x - 1
Sehingga jawabannya adalah C
Semoga membantu 😄👍
· 5.0 (1)
Iklan
Tanya ke AiRIS
Yuk, cobain chat dan belajar bareng AiRIS, teman pintarmu!

LATIHAN SOAL GRATIS!
Drill Soal
Latihan soal sesuai topik yang kamu mau untuk persiapan ujian


Perdalam pemahamanmu bersama Master Teacher
di sesi Live Teaching, GRATIS!