Devita S
21 Agustus 2024 04:49
Iklan
Devita S
21 Agustus 2024 04:49
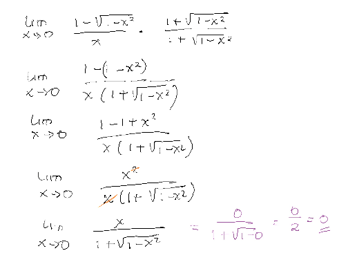
Pertanyaan
Mohon bantuannya βπ»

8
1
Iklan
Jay J
21 Agustus 2024 05:47
Bantuan

Β· 0.0 (0)
Iklan
Tanya ke AiRIS
Yuk, cobain chat dan belajar bareng AiRIS, teman pintarmu!

LATIHAN SOAL GRATIS!
Drill Soal
Latihan soal sesuai topik yang kamu mau untuk persiapan ujian


Perdalam pemahamanmu bersama Master Teacher
di sesi Live Teaching, GRATIS!