FIFTA B
08 Desember 2025 13:16
Iklan
FIFTA B
08 Desember 2025 13:16
Pertanyaan
minta tolonggg

9
1
Iklan
Muhammad R
09 Desember 2025 03:54
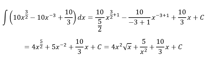
Semoga Membantu,, cmiiw

· 0.0 (0)
Iklan
Tanya ke AiRIS
Yuk, cobain chat dan belajar bareng AiRIS, teman pintarmu!

LATIHAN SOAL GRATIS!
Drill Soal
Latihan soal sesuai topik yang kamu mau untuk persiapan ujian


Perdalam pemahamanmu bersama Master Teacher
di sesi Live Teaching, GRATIS!