Anastasia C
12 Agustus 2025 15:26
Iklan
Anastasia C
12 Agustus 2025 15:26
Pertanyaan
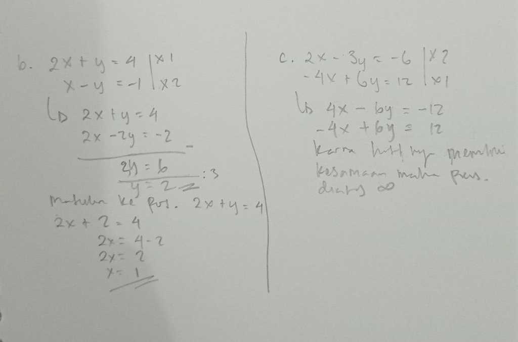
minta tolong gimana ini caranya

24
1
Iklan
Khofifah I

14 Agustus 2025 10:54
kurang lebih seperti ini, memakai cara eliminasi da substitusi ya

· 5.0 (1)
Iklan
Tanya ke AiRIS
Yuk, cobain chat dan belajar bareng AiRIS, teman pintarmu!

LATIHAN SOAL GRATIS!
Drill Soal
Latihan soal sesuai topik yang kamu mau untuk persiapan ujian


Perdalam pemahamanmu bersama Master Teacher
di sesi Live Teaching, GRATIS!