Naila P
16 Oktober 2024 06:47
Iklan
Naila P
16 Oktober 2024 06:47
Pertanyaan
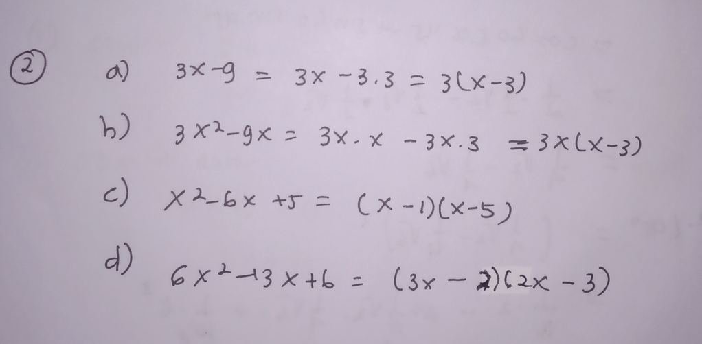
Kak bantu pliss nomer 1-5

1
2
Iklan
E. Nur
17 Oktober 2024 00:40

· 0.0 (0)
Iklan
Abdullah Y
16 Oktober 2024 07:32
Tanya chatgpt itu teknologi canggih banget
· 0.0 (0)
Abdullah Y
16 Oktober 2024 07:33
tanya chatgpt aja, chatgpt itu bagus banget tapi login dulu biar dia semakin cerdas
Tanya ke AiRIS
Yuk, cobain chat dan belajar bareng AiRIS, teman pintarmu!

LATIHAN SOAL GRATIS!
Drill Soal
Latihan soal sesuai topik yang kamu mau untuk persiapan ujian


Perdalam pemahamanmu bersama Master Teacher
di sesi Live Teaching, GRATIS!