Kirana D
13 April 2025 12:22
Iklan
Kirana D
13 April 2025 12:22
Pertanyaan
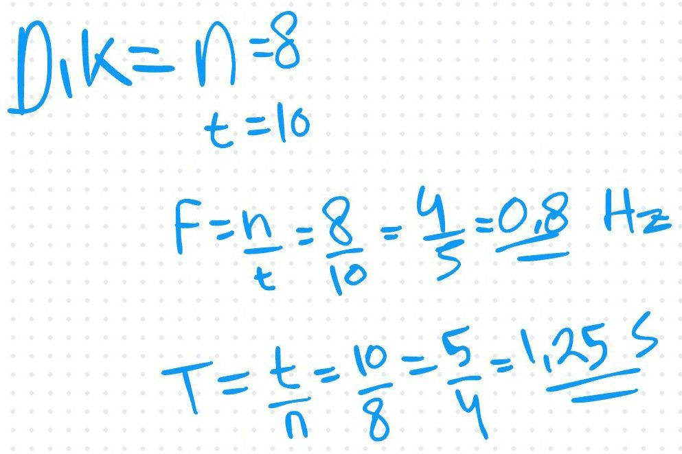
jika sebuah benda melakukan 8 getaran dalam waktu 10 sekon,berapa frekuensi dan periode nya?
7
2
Iklan
Sherk S
13 April 2025 13:48
Jawaban:
Frekuensi (f):
f = Jumlah Getaran/Waktu = 8/10 = 0,8 Hz
Periode (T):
T = Waktu/Jumlah Getaran = 10/8 = 1,25 detik
Penjelasan Simpel:
Semoga makin jago ya fisiknya! 😉👍
· 0.0 (0)
Iklan
Syaiful M
25 April 2025 09:35
Jawaban dan caranya ada di foto ya,semoga membantu

· 0.0 (0)
Tanya ke AiRIS
Yuk, cobain chat dan belajar bareng AiRIS, teman pintarmu!

LATIHAN SOAL GRATIS!
Drill Soal
Latihan soal sesuai topik yang kamu mau untuk persiapan ujian


Perdalam pemahamanmu bersama Master Teacher
di sesi Live Teaching, GRATIS!