Winda S
04 Januari 2022 01:58
Iklan
Winda S
04 Januari 2022 01:58
Pertanyaan
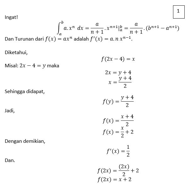
1
1
Iklan
D. Firmansyah
06 Februari 2022 14:01
· 0.0 (0)
Iklan
Tanya ke AiRIS
Yuk, cobain chat dan belajar bareng AiRIS, teman pintarmu!
Roboguru Plus
Dapatkan pembahasan soal ga pake lama, langsung dari Tutor!


Perdalam pemahamanmu bersama Master Teacher
di sesi Live Teaching, GRATIS!