Arafah A
03 September 2025 13:46
Iklan
Arafah A
03 September 2025 13:46
Pertanyaan
jawabannya berapa

6
2
Iklan
Azzahra' A
04 September 2025 00:35
3a¹⁷ b¹⁶ c⁸

· 0.0 (0)
Iklan
Bunga C
07 September 2025 14:29
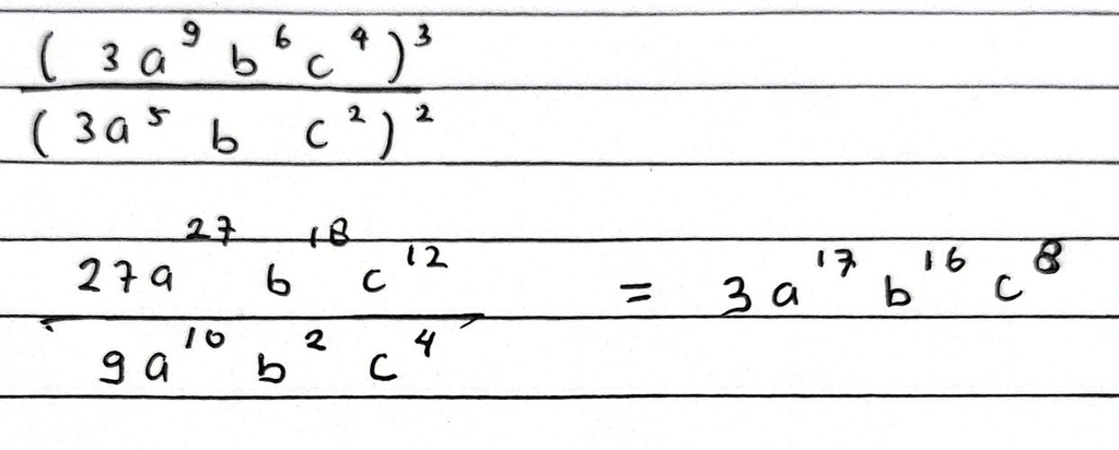
(3a⁹b⁶c⁴)³/(3a⁵bc²)²
=3a²⁷b¹⁸c¹²/3a¹⁰b²c⁴
=3a¹⁷b¹⁶c⁸
· 0.0 (0)
Tanya ke AiRIS
Yuk, cobain chat dan belajar bareng AiRIS, teman pintarmu!

LATIHAN SOAL GRATIS!
Drill Soal
Latihan soal sesuai topik yang kamu mau untuk persiapan ujian


Perdalam pemahamanmu bersama Master Teacher
di sesi Live Teaching, GRATIS!