Bilqis S
02 Maret 2026 05:26
Iklan
Bilqis S
02 Maret 2026 05:26
Pertanyaan
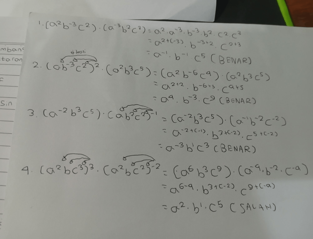
jawab pertanyaan ini, dan uraikan cara nya

16
2
Iklan
Muhammad R
02 Maret 2026 10:04
Jawabannya A. 1, 2, dan 3. Untuk caranya udah ada di foto, tapi aku cuman ngecek 1-4 aja, soalnya udah dapet dari 5 penyataan itu, ada tiganya yang benar. Jadi pernyataan nomor 5 udah pasti salah dan gak perlu dicek untuk menghemat waktu

· 5.0 (2)
Iklan
Mikhayla N
06 Maret 2026 09:36
Auisgwiu
· 0.0 (0)
Tanya ke AiRIS
Yuk, cobain chat dan belajar bareng AiRIS, teman pintarmu!

LATIHAN SOAL GRATIS!
Drill Soal
Latihan soal sesuai topik yang kamu mau untuk persiapan ujian


Perdalam pemahamanmu bersama Master Teacher
di sesi Live Teaching, GRATIS!