Amara Y
11 Desember 2025 10:29
Iklan
Amara Y
11 Desember 2025 10:29
Pertanyaan
jawab pertanyaan berikut

16
2
Iklan
Muhammad R
15 Desember 2025 03:50
Semoga Membantu,, cmiiw

· 0.0 (0)
Iklan
Chiquita D
31 Desember 2025 18:45
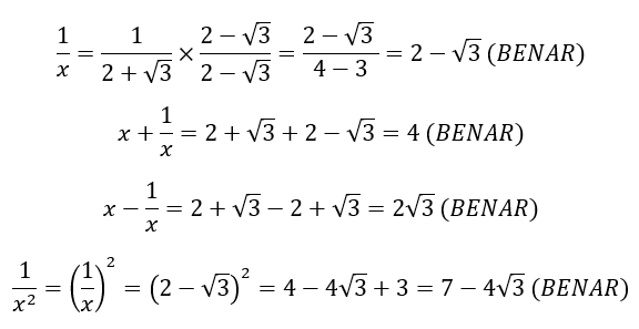
Keempat pernyataan benar semua
· 0.0 (0)
Tanya ke AiRIS
Yuk, cobain chat dan belajar bareng AiRIS, teman pintarmu!

LATIHAN SOAL GRATIS!
Drill Soal
Latihan soal sesuai topik yang kamu mau untuk persiapan ujian


Perdalam pemahamanmu bersama Master Teacher
di sesi Live Teaching, GRATIS!