Holipa R
13 Oktober 2025 06:14
Iklan
Holipa R
13 Oktober 2025 06:14
Pertanyaan
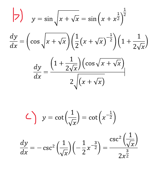
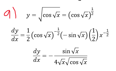
jawab dgn cara menentukan dy per dx

3
1
Iklan
Muhammad R
13 Oktober 2025 07:35
Pakai Turunan Rantai
Semoga dipahami,, mulai diturunkan dari luar sampai dalam kurung


· 0.0 (0)
Iklan
Tanya ke AiRIS
Yuk, cobain chat dan belajar bareng AiRIS, teman pintarmu!

LATIHAN SOAL GRATIS!
Drill Soal
Latihan soal sesuai topik yang kamu mau untuk persiapan ujian


Perdalam pemahamanmu bersama Master Teacher
di sesi Live Teaching, GRATIS!