Muhammad F
05 Oktober 2025 11:52
Iklan
Muhammad F
05 Oktober 2025 11:52
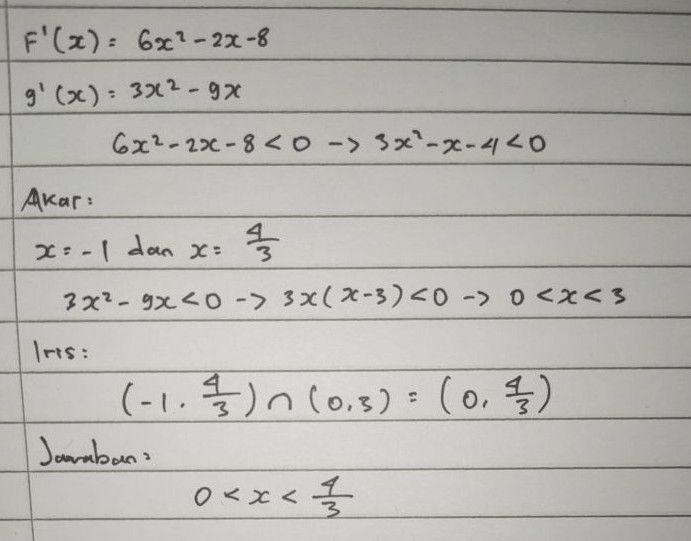
Pertanyaan
Jawab dengan lengkap

12
1
Iklan
Agita A
05 Oktober 2025 14:30
semoga membantu ππ»ββοΈ ππ»ββοΈ ππ»ββοΈ ππ»ββοΈ

Β· 5.0 (1)
Iklan
Tanya ke AiRIS
Yuk, cobain chat dan belajar bareng AiRIS, teman pintarmu!

LATIHAN SOAL GRATIS!
Drill Soal
Latihan soal sesuai topik yang kamu mau untuk persiapan ujian


Perdalam pemahamanmu bersama Master Teacher
di sesi Live Teaching, GRATIS!