Adinda T
13 Desember 2024 00:32
Iklan
Adinda T
13 Desember 2024 00:32
Pertanyaan
Jangan lupa jawabannya dikasih caranya gimana

1
1
Iklan
Emilianna T
31 Desember 2024 19:23
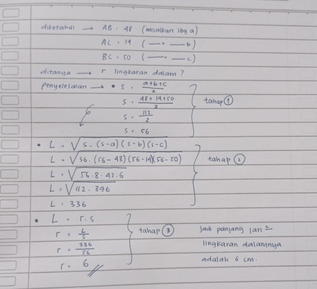
izin menjawab, panjang jari-jari lingkaran dalamnya adalah 6cm, untuk cara sudah tertera pada foto, semoga membantu

· 0.0 (0)
Iklan
Tanya ke AiRIS
Yuk, cobain chat dan belajar bareng AiRIS, teman pintarmu!

LATIHAN SOAL GRATIS!
Drill Soal
Latihan soal sesuai topik yang kamu mau untuk persiapan ujian


Perdalam pemahamanmu bersama Master Teacher
di sesi Live Teaching, GRATIS!