Lilkhoirina L
06 Oktober 2025 04:32
Iklan
Lilkhoirina L
06 Oktober 2025 04:32
Pertanyaan
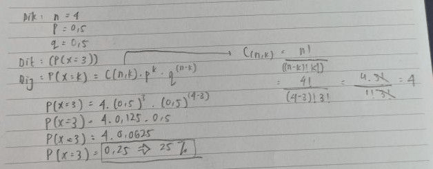
Ita mempunyai seekor ayam betina yang sudah betelur sebanyak 4 butir, berapa peluangan Ita untuk mendapatkan 3 anak ayam?
21
2
Iklan
Tiara C
06 Oktober 2025 04:55
Berikut pembahasannya :

· 0.0 (0)
Iklan
Maria A
06 Oktober 2025 05:16
Jawaban nya 0.25 atau 25%

· 0.0 (0)
Tanya ke AiRIS
Yuk, cobain chat dan belajar bareng AiRIS, teman pintarmu!

LATIHAN SOAL GRATIS!
Drill Soal
Latihan soal sesuai topik yang kamu mau untuk persiapan ujian


Perdalam pemahamanmu bersama Master Teacher
di sesi Live Teaching, GRATIS!