Naura J
17 November 2025 05:18
Iklan
Naura J
17 November 2025 05:18
Pertanyaan
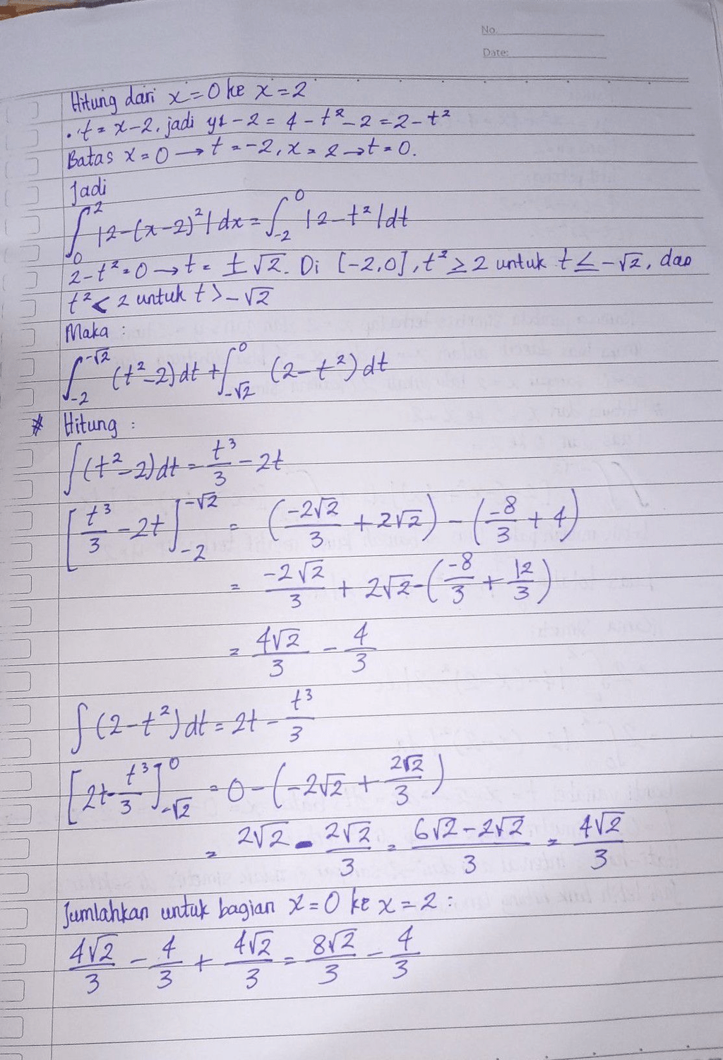
hitung luas daerah yang dibatasi oleh kurva berikut.
y1 = -x² + 4x
dan garis y=2, pada interval [0,4]

13
2
Iklan
Syahida N
15 Desember 2025 12:40
semogaaaa membantuu yhaaa ^^



· 0.0 (0)
Iklan
NAYLA B
17 Desember 2025 22:54
Luas Daerahnya =
L = 8√2
------------
3
· 0.0 (0)
Tanya ke AiRIS
Yuk, cobain chat dan belajar bareng AiRIS, teman pintarmu!

LATIHAN SOAL GRATIS!
Drill Soal
Latihan soal sesuai topik yang kamu mau untuk persiapan ujian


Perdalam pemahamanmu bersama Master Teacher
di sesi Live Teaching, GRATIS!