Silvia A
23 November 2025 13:15
Iklan
Silvia A
23 November 2025 13:15
Pertanyaan
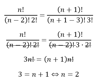
Halo, boleh minta bantuannya dengan cara pengerjaannya. Terima kasih

43
2
Iklan
Muhammad R
24 November 2025 02:48
Jawaban: A.2
Semoga membantu, cmiiw

· 5.0 (1)
Silvia A
24 November 2025 03:54
Makasihh kakaa🤩
Iklan
Humaira N
23 November 2025 14:43
Kurang tau ya kalo
· 0.0 (0)
Tanya ke AiRIS
Yuk, cobain chat dan belajar bareng AiRIS, teman pintarmu!

LATIHAN SOAL GRATIS!
Drill Soal
Latihan soal sesuai topik yang kamu mau untuk persiapan ujian


Perdalam pemahamanmu bersama Master Teacher
di sesi Live Teaching, GRATIS!