Muhammad Z
29 September 2025 12:55
Iklan
Muhammad Z
29 September 2025 12:55
2
2
Iklan
Syifa S
29 September 2025 13:16
Ini ya

· 5.0 (2)
Iklan
Jafar M
29 September 2025 13:03
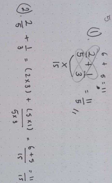
2/5+1/3 : (disamakan penyebut nya dulu) 5 dan 3 itu kelipatan persekutuannya itu 15
2/5+1/3 : 6/15 + 5/15 : 11/15
6 dan 5 dari mana….?
6 dari 15 dibagi 5 dikali 2 : 6
5 dari 15 dibagi 3 dikali 1 : 5
· 5.0 (1)
Tanya ke AiRIS
Yuk, cobain chat dan belajar bareng AiRIS, teman pintarmu!

LATIHAN SOAL GRATIS!
Drill Soal
Latihan soal sesuai topik yang kamu mau untuk persiapan ujian


Perdalam pemahamanmu bersama Master Teacher
di sesi Live Teaching, GRATIS!