Fahri I
23 Agustus 2025 13:36
Iklan
Fahri I
23 Agustus 2025 13:36
Pertanyaan
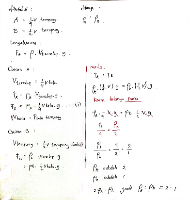
Dua zat cair memiliki massa jenis berbeda. Bola terapung ¼ volumenya di cairan A, dan ½ volumenya di cairan B. Perbandingan massa jenis cairan A dan B adalah…
4
1
Iklan
Willy F
23 Agustus 2025 15:02
2:1

· 0.0 (0)
Iklan
Tanya ke AiRIS
Yuk, cobain chat dan belajar bareng AiRIS, teman pintarmu!

LATIHAN SOAL GRATIS!
Drill Soal
Latihan soal sesuai topik yang kamu mau untuk persiapan ujian


Perdalam pemahamanmu bersama Master Teacher
di sesi Live Teaching, GRATIS!