Padantya A

09 Juni 2025 11:26
Iklan
Padantya A

09 Juni 2025 11:26
Pertanyaan
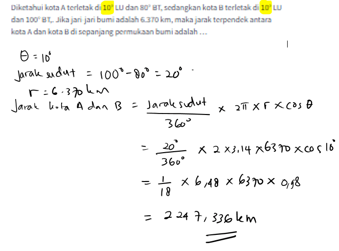
Diketahui kota A terletak di 10° LU dan 80° BT, sedangkan kota B terletak di 10° LU dan 100° BT,. Jika jari-jari bumi adalah 6.370 km, maka jarak terpendek antara kota A dan kota B di sepanjang permukaan bumi adalah …
4
2
Iklan
E. Nur
10 Juni 2025 05:19
Pembahasan pada gambar terlampir
· 5.0 (1)
Iklan
Yasmine P
09 Juni 2025 12:52
Jarak = 6370 × cos(10°) × (20 × π/180)
≈ 6370 × 0.9848 × 0.349
≈ 2.190 km ✅
semoga membantu
· 0.0 (0)
Tanya ke AiRIS
Yuk, cobain chat dan belajar bareng AiRIS, teman pintarmu!

LATIHAN SOAL GRATIS!
Drill Soal
Latihan soal sesuai topik yang kamu mau untuk persiapan ujian


Perdalam pemahamanmu bersama Master Teacher
di sesi Live Teaching, GRATIS!