Yosia B
13 Februari 2025 08:57
Iklan
Yosia B
13 Februari 2025 08:57
Pertanyaan
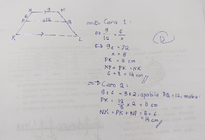
Diketahui trapesium KLQP sebangun dengan trapesium PQMN. Panjang MN = 9 cm, PQ = 12 cm, dan NP = 6 cm, maka panjang garis NK adalah ….
A. 6
B. 8
C. 12
D. 14

1
1
Iklan
Matthew M
13 Februari 2025 14:42
Jawabannya D. 14 cm

· 5.0 (1)
Iklan
Tanya ke AiRIS
Yuk, cobain chat dan belajar bareng AiRIS, teman pintarmu!

LATIHAN SOAL GRATIS!
Drill Soal
Latihan soal sesuai topik yang kamu mau untuk persiapan ujian


Perdalam pemahamanmu bersama Master Teacher
di sesi Live Teaching, GRATIS!