Chia C
07 Oktober 2024 11:42
Iklan
Chia C
07 Oktober 2024 11:42
Pertanyaan
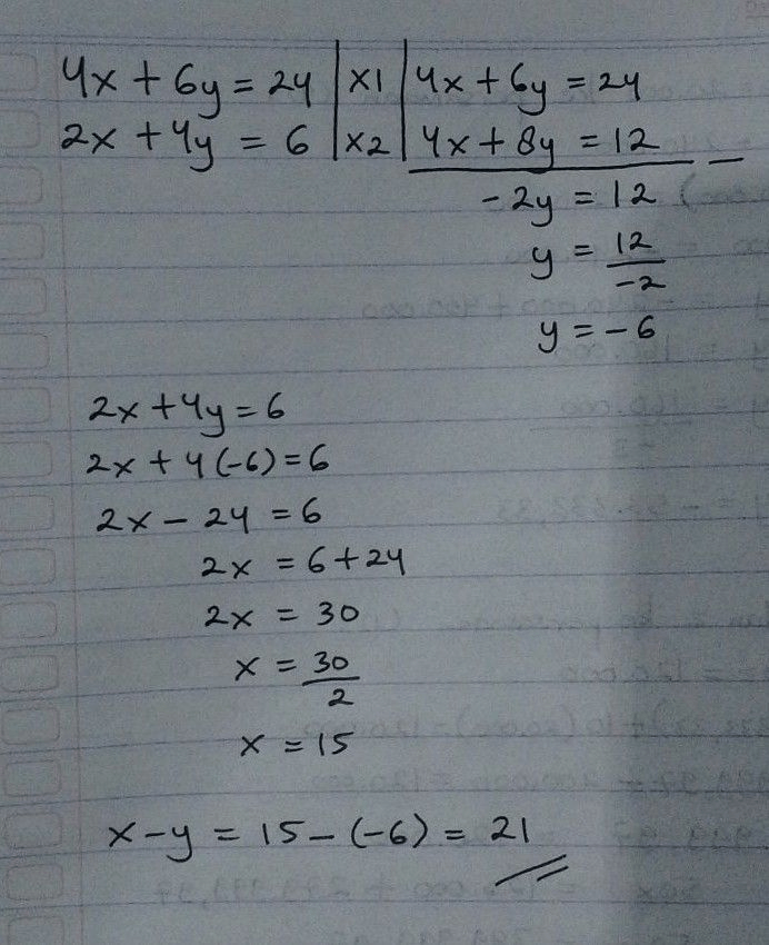
diketahui spldv 4x + 6y=24, dan 2x + 46 = 6. Nilai x-y yang memenuhi spldv tersebut adalah...
a. -21
b. -11
c. 11
d. 21

1
1
Iklan
Muhammad N
07 Oktober 2024 13:24
Jawabannya D. 21

· 0.0 (0)
Iklan
Tanya ke AiRIS
Yuk, cobain chat dan belajar bareng AiRIS, teman pintarmu!

LATIHAN SOAL GRATIS!
Drill Soal
Latihan soal sesuai topik yang kamu mau untuk persiapan ujian


Perdalam pemahamanmu bersama Master Teacher
di sesi Live Teaching, GRATIS!