Jeremy A
29 Januari 2025 10:31
Iklan
Jeremy A
29 Januari 2025 10:31
Pertanyaan
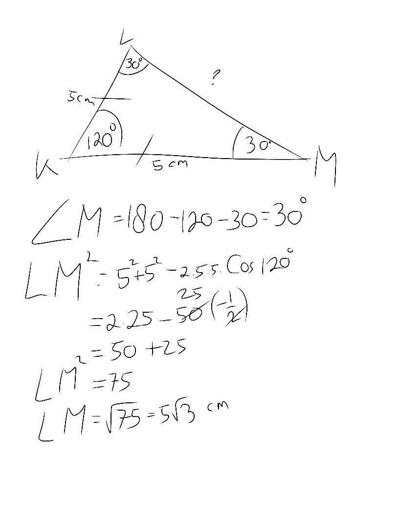
diketahui segitiga KLM, dengan sudut K = 120° , sudut L = 30° , dan panjang KM = 5cm. Hitunglah panjang sisi LM ?
1
1
Iklan
Thufail S
30 Januari 2025 07:31
Jadi, panjang LM adalah 5√3 cm

· 0.0 (0)
Jeremy A
30 Januari 2025 13:20
terimakasih atas jawabannya..
Iklan
Tanya ke AiRIS
Yuk, cobain chat dan belajar bareng AiRIS, teman pintarmu!

LATIHAN SOAL GRATIS!
Drill Soal
Latihan soal sesuai topik yang kamu mau untuk persiapan ujian


Perdalam pemahamanmu bersama Master Teacher
di sesi Live Teaching, GRATIS!