Queenzhwaa Q
05 Oktober 2025 13:43
Iklan
Queenzhwaa Q
05 Oktober 2025 13:43
Pertanyaan
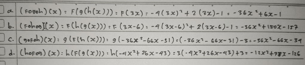
Diketahui f(x) =-4x²+2x-1
G(x) =x-3
H(x) =3x+3
Tentukan a. (Fogoh)(x)
b. (Fohog)(x)
c. (gofoh)(x)
d. (hofog)(x)
8
1
Iklan
Agita A
05 Oktober 2025 14:23
semoga membantu 🙆🏻♀️ 🙆🏻♀️ 🙆🏻♀️ 🙆🏻♀️

· 4.5 (2)
Queenzhwaa Q
05 Oktober 2025 15:48
penjelasan yang lebih panjang kak😔
Iklan
Tanya ke AiRIS
Yuk, cobain chat dan belajar bareng AiRIS, teman pintarmu!

LATIHAN SOAL GRATIS!
Drill Soal
Latihan soal sesuai topik yang kamu mau untuk persiapan ujian


Perdalam pemahamanmu bersama Master Teacher
di sesi Live Teaching, GRATIS!