Naila A

29 September 2024 11:44
Iklan
Naila A

29 September 2024 11:44
Pertanyaan
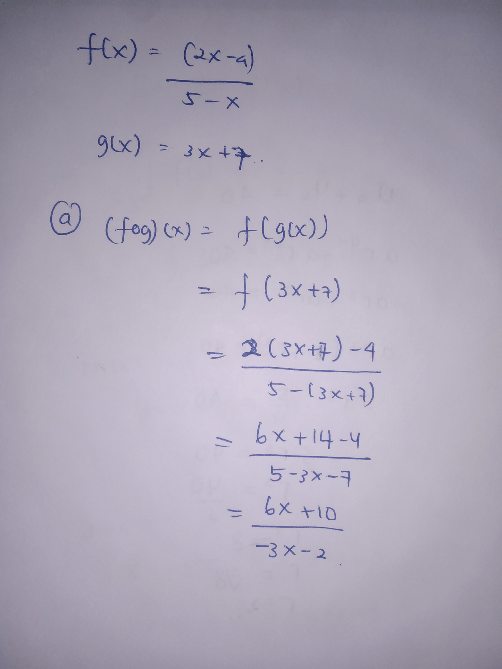
Diketahui f(x) = (2x - 4)/(5 - x) dan g(x) = 3x + 7 Tentukan :

2
1
Iklan
E. Nur
30 September 2024 04:01

· 0.0 (0)
Iklan
Tanya ke AiRIS
Yuk, cobain chat dan belajar bareng AiRIS, teman pintarmu!

LATIHAN SOAL GRATIS!
Drill Soal
Latihan soal sesuai topik yang kamu mau untuk persiapan ujian


Perdalam pemahamanmu bersama Master Teacher
di sesi Live Teaching, GRATIS!