Talita T
02 Agustus 2024 00:57
Iklan
Talita T
02 Agustus 2024 00:57
Pertanyaan
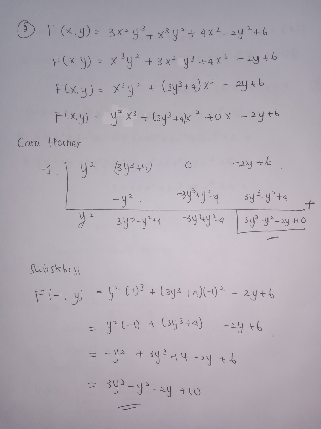
Cara horner dan substitusi

1
1
Iklan
E. Nur
02 Agustus 2024 15:01

· 5.0 (1)
Iklan
Tanya ke AiRIS
Yuk, cobain chat dan belajar bareng AiRIS, teman pintarmu!

LATIHAN SOAL GRATIS!
Drill Soal
Latihan soal sesuai topik yang kamu mau untuk persiapan ujian


Perdalam pemahamanmu bersama Master Teacher
di sesi Live Teaching, GRATIS!