Dar D
26 Maret 2026 11:56
Iklan
Dar D
26 Maret 2026 11:56
Pertanyaan
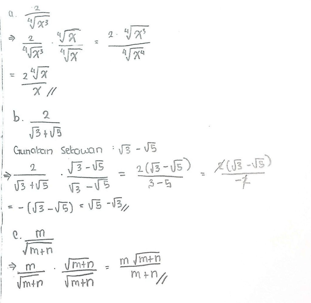
bisa rasional kan pecahan di bawah ini, gunakan cara serta penjelasan juga

3
2
Iklan
Irenta S
28 Maret 2026 08:47
Ini jawabannya

· 0.0 (0)
Iklan
Aliena A
07 April 2026 16:52
ini ya jawabannya

· 0.0 (0)
Tanya ke AiRIS
Yuk, cobain chat dan belajar bareng AiRIS, teman pintarmu!

LATIHAN SOAL GRATIS!
Drill Soal
Latihan soal sesuai topik yang kamu mau untuk persiapan ujian


Perdalam pemahamanmu bersama Master Teacher
di sesi Live Teaching, GRATIS!