Ardhina S
07 Oktober 2025 06:55
Iklan
Ardhina S
07 Oktober 2025 06:55
Pertanyaan
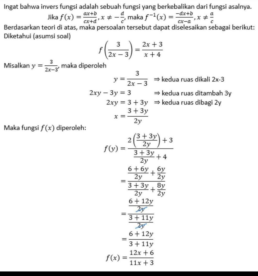
Berikan cara yang detail

10
2
Iklan
Prast P
07 Oktober 2025 07:58
Diinvers lalu dimasukkan ke f(x)

· 0.0 (0)
Iklan
Irsyad W
07 Oktober 2025 13:41
Semoga membantu 🙏🏻


· 0.0 (0)
Tanya ke AiRIS
Yuk, cobain chat dan belajar bareng AiRIS, teman pintarmu!

LATIHAN SOAL GRATIS!
Drill Soal
Latihan soal sesuai topik yang kamu mau untuk persiapan ujian


Perdalam pemahamanmu bersama Master Teacher
di sesi Live Teaching, GRATIS!