Ummi N
17 September 2025 03:29
Iklan
Ummi N
17 September 2025 03:29
Pertanyaan
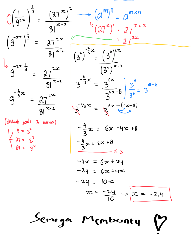
berapakah nilai x dari soal tersebut

14
1
Iklan
Ircham M
17 September 2025 06:45
semoga membantu…

· 5.0 (1)
Iklan
Tanya ke AiRIS
Yuk, cobain chat dan belajar bareng AiRIS, teman pintarmu!

LATIHAN SOAL GRATIS!
Drill Soal
Latihan soal sesuai topik yang kamu mau untuk persiapan ujian


Perdalam pemahamanmu bersama Master Teacher
di sesi Live Teaching, GRATIS!