Dewi H
20 November 2025 14:32
Iklan
Dewi H
20 November 2025 14:32
Pertanyaan
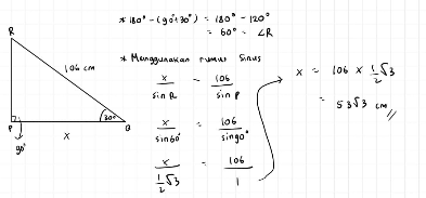
berapakah nilai x?

3
1
Iklan
Rizka A
21 November 2025 01:28
Nilai x adalah 53√3.

· 5.0 (1)
Dewi H
21 November 2025 11:51
thankss yaa kakk
Iklan
Tanya ke AiRIS
Yuk, cobain chat dan belajar bareng AiRIS, teman pintarmu!

LATIHAN SOAL GRATIS!
Drill Soal
Latihan soal sesuai topik yang kamu mau untuk persiapan ujian


Perdalam pemahamanmu bersama Master Teacher
di sesi Live Teaching, GRATIS!