Latifah P
02 Oktober 2025 03:31
Iklan
Latifah P
02 Oktober 2025 03:31
Pertanyaan
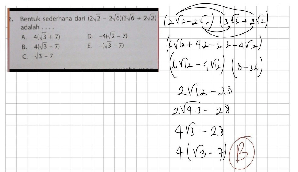
Bentuk sederhana nya

1
1
Iklan
Reisha I
02 Oktober 2025 09:11
semoga benar

· 0.0 (0)
Iklan
Tanya ke AiRIS
Yuk, cobain chat dan belajar bareng AiRIS, teman pintarmu!

LATIHAN SOAL GRATIS!
Drill Soal
Latihan soal sesuai topik yang kamu mau untuk persiapan ujian


Perdalam pemahamanmu bersama Master Teacher
di sesi Live Teaching, GRATIS!