RIZAL E
14 November 2024 04:28
Iklan
RIZAL E
14 November 2024 04:28
2
1
Iklan
Bakwan G
15 November 2024 02:29
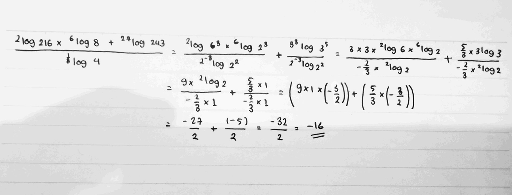
Hasilnya adalah -16
Ingat !
m log m = 1
m log n × n log p = m log p
m log na = a × m log n
m^b log n = (1 ÷ b) × m log n
m^b log na = (a ÷ b) × m log n
(1 ÷ ab) = a-b
Pembahasan di foto,
Semoga mudah dipahami, terimakasih :D🙏

· 0.0 (0)
Iklan
Tanya ke AiRIS
Yuk, cobain chat dan belajar bareng AiRIS, teman pintarmu!

LATIHAN SOAL GRATIS!
Drill Soal
Latihan soal sesuai topik yang kamu mau untuk persiapan ujian


Perdalam pemahamanmu bersama Master Teacher
di sesi Live Teaching, GRATIS!