Wawa C
19 Oktober 2025 22:44
Iklan
Wawa C
19 Oktober 2025 22:44
Pertanyaan
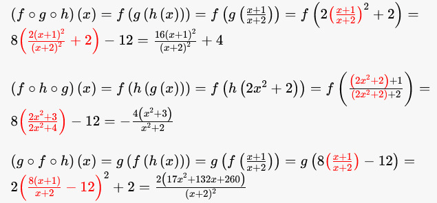
bantuin plis

2
1
Iklan
Muhammad R
20 Oktober 2025 01:02
Semoga Membantu...

· 0.0 (0)
Iklan
Tanya ke AiRIS
Yuk, cobain chat dan belajar bareng AiRIS, teman pintarmu!

LATIHAN SOAL GRATIS!
Drill Soal
Latihan soal sesuai topik yang kamu mau untuk persiapan ujian


Perdalam pemahamanmu bersama Master Teacher
di sesi Live Teaching, GRATIS!