Nadia B
07 April 2023 07:44
Iklan
Nadia B
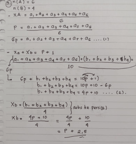
07 April 2023 07:44
Pertanyaan
Bantuin dong

1
1
Iklan
Vincent V
08 April 2023 05:02
semoga membantuuu

· 0.0 (0)
Iklan
Tanya ke AiRIS
Yuk, cobain chat dan belajar bareng AiRIS, teman pintarmu!
Roboguru Plus
Dapatkan pembahasan soal ga pake lama, langsung dari Tutor!


Perdalam pemahamanmu bersama Master Teacher
di sesi Live Teaching, GRATIS!