Risky Z
26 Januari 2026 08:55
Iklan
Risky Z
26 Januari 2026 08:55
23
1
Iklan
Wilson N
26 Januari 2026 09:50
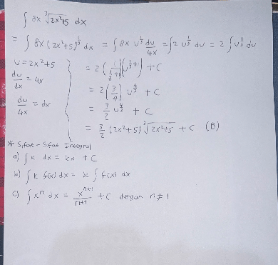
Jawabannya adalah Opsi B
Untuk mengerjakan soal diatas kakak bisa kerjakan dengan menggunakan Integral Subtitusi dengan Pemisalan U . Untuk lebih lengkapnya ini terdapat foto dengan beberapa alur proses pengerjaannya dan Saya juga memberikan beberapa sifat-sifat Integral supaya dapat dengan mudah dipahami.

· 0.0 (0)
Iklan
Tanya ke AiRIS
Yuk, cobain chat dan belajar bareng AiRIS, teman pintarmu!

LATIHAN SOAL GRATIS!
Drill Soal
Latihan soal sesuai topik yang kamu mau untuk persiapan ujian


Perdalam pemahamanmu bersama Master Teacher
di sesi Live Teaching, GRATIS!