Keysaaa R

21 Agustus 2025 04:40
Iklan
Keysaaa R

21 Agustus 2025 04:40
Pertanyaan
Bantu jawab kak

3
3
Iklan
E. Nur
21 Agustus 2025 16:13
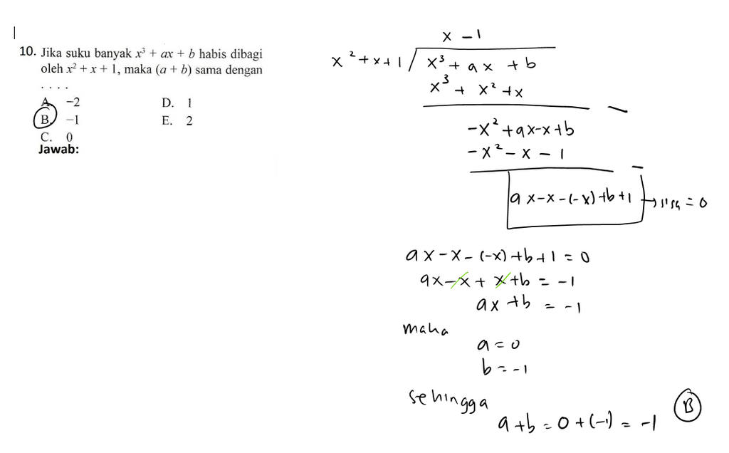
Pembahasan pada gambar terlampir
· 4.5 (2)
Muhamad I
24 Agustus 2025 04:47
tolong jawab kak 3929292929+020292929
Iklan
RAHMA U
21 Agustus 2025 07:58
semoga membantu yaa

· 5.0 (1)
Arga T
23 Agustus 2025 12:31
kak ini nama aplikasi nya apa ya? saya mau buat aplikasi sma kayak itu
Berth...a
21 Agustus 2025 11:06
-1 ituu
· 0.0 (0)
Tanya ke AiRIS
Yuk, cobain chat dan belajar bareng AiRIS, teman pintarmu!

LATIHAN SOAL GRATIS!
Drill Soal
Latihan soal sesuai topik yang kamu mau untuk persiapan ujian


Perdalam pemahamanmu bersama Master Teacher
di sesi Live Teaching, GRATIS!