Muhammad T
19 Mei 2025 12:25
Iklan
Muhammad T
19 Mei 2025 12:25
Pertanyaan
bagaimana cara pengerjaannya?

8
1
Iklan
Muhammad W
19 Mei 2025 13:17
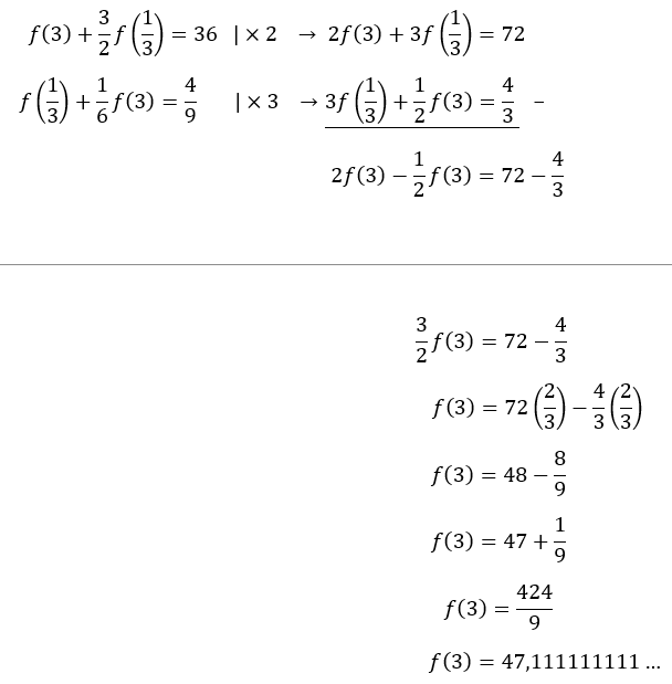
Jawaban ada pada gambar



· 0.0 (0)
Iklan
Tanya ke AiRIS
Yuk, cobain chat dan belajar bareng AiRIS, teman pintarmu!

LATIHAN SOAL GRATIS!
Drill Soal
Latihan soal sesuai topik yang kamu mau untuk persiapan ujian


Perdalam pemahamanmu bersama Master Teacher
di sesi Live Teaching, GRATIS!