Sultan S
09 Oktober 2025 01:20
Iklan
Sultan S
09 Oktober 2025 01:20
Pertanyaan
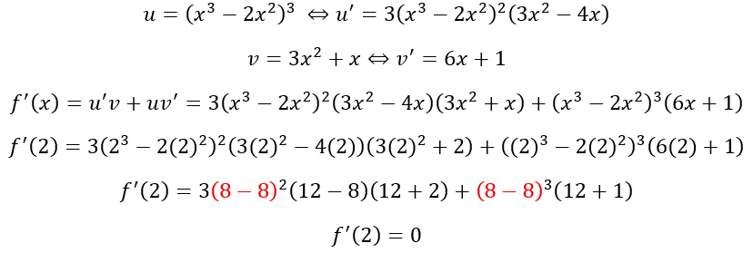
Bagaiamana ini om

17
1
Iklan
Muhammad R
09 Oktober 2025 02:10
CMIIW

· 5.0 (1)
Iklan
Tanya ke AiRIS
Yuk, cobain chat dan belajar bareng AiRIS, teman pintarmu!

LATIHAN SOAL GRATIS!
Drill Soal
Latihan soal sesuai topik yang kamu mau untuk persiapan ujian


Perdalam pemahamanmu bersama Master Teacher
di sesi Live Teaching, GRATIS!