Number T

04 Juni 2025 02:33
Iklan
Number T

04 Juni 2025 02:33
Pertanyaan
Andi membeli 3 buku tulis, 1 pulpen, dan 2 pensil dengan harga Rp11.000,00. Beni membeli 2 buku tulis, 3 pulpen, dan 1 pensil dengan harga Rp14.000,00. Citra membeli 1 buku tulis, 2 pulpen dan 3 pensil dengan harga Rp11.000,00. Desi membeli 2 buku tulis, 1 pulpen, dan 1 pensil. Jumlah uang yang harus dibayarkan oleh Desi adalah…
7
3
Iklan
E. Nur
05 Juni 2025 00:37
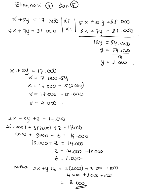
Jawaban : Rp 8.000,00
Pembahasan pada gambar terlampir
· 5.0 (1)
Putri P
03 Juli 2025 12:47
jawabanya adalah 8.000,00
Iklan
Squad S
04 Juni 2025 14:48
Langkah 1: Perhatikan pola perhitungan
Kita punya tiga transaksi sebelumnya:
1. Andi membeli 3 buku tulis, 1 pulpen, dan 2 pensil dengan total Rp11.000
2. Beni membeli 2 buku tulis, 3 pulpen, dan 1 pensil dengan total Rp14.000
3. Citra membeli 1 buku tulis, 2 pulpen, dan 3 pensil dengan total Rp11.000
Kita perhatikan bahwa ketiga pembelian memiliki kombinasi berbeda. Namun, kita bisa mencoba metode perkiraan dengan melihat selisih harga dan jumlah barang.
Langkah 2: Menentukan harga barang
Dari transaksi Andi dan Citra, kita bandingkan:
- Andi membeli 2 pensil lebih banyak dibanding Citra
- Citra membeli 2 pulpen lebih banyak dibanding Andi
- Harga total mereka sama, yaitu Rp11.000
Artinya, nilai 2 pulpen dan 2 pensil harus bernilai sama.
Sekarang kita bandingkan Beni dan Citra:
- Beni membeli 1 pensil lebih sedikit dari Citra
- Beni membeli 1 buku tulis dan 1 pulpen lebih banyak dibanding Citra
- Selisih harga mereka adalah Rp14.000 - Rp11.000 = Rp3.000
Dari sini, kita simpulkan bahwa 1 buku tulis + 1 pulpen - 1 pensil = Rp3.000
Dengan pola ini, kita bisa mendapatkan harga masing-masing barang:
- Buku tulis = Rp8.000
- Pulpen = Rp2.000
- Pensil = Rp3.000
Langkah 3: Hitung biaya yang harus dibayarkan oleh Desi
Desi membeli:
- 2 buku tulis = 2 × Rp8.000 = Rp16.000
- 1 pulpen = Rp2.000
- 1 pensil = Rp3.000
Total biaya:
Rp16.000 + Rp2.000 + Rp3.000 = Rp21.000
Jadi, Desi harus membayar Rp21.000. Semoga membantu!
· 0.0 (0)
Sustt... S
06 Juni 2025 00:15
8.000
· 0.0 (0)
Tanya ke AiRIS
Yuk, cobain chat dan belajar bareng AiRIS, teman pintarmu!

LATIHAN SOAL GRATIS!
Drill Soal
Latihan soal sesuai topik yang kamu mau untuk persiapan ujian


Perdalam pemahamanmu bersama Master Teacher
di sesi Live Teaching, GRATIS!