Echa E
29 Juli 2025 12:06
Iklan
Echa E
29 Juli 2025 12:06
Pertanyaan
Ada yang tauu

19
2
Iklan
Zahra N
29 Juli 2025 13:57
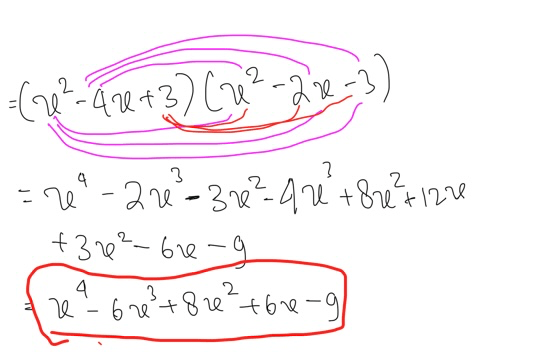
ini

· 5.0 (1)
Azki H
30 Juli 2025 10:40
kamu gak pusing😅
Iklan
Faidhan A
31 Juli 2025 06:55
12r ,ht,kalsium
· 0.0 (0)
Tanya ke AiRIS
Yuk, cobain chat dan belajar bareng AiRIS, teman pintarmu!
Roboguru Plus
Dapatkan pembahasan soal ga pake lama, langsung dari Tutor!


Perdalam pemahamanmu bersama Master Teacher
di sesi Live Teaching, GRATIS!