Syifa A
06 Oktober 2025 06:40
Iklan
Syifa A
06 Oktober 2025 06:40
Pertanyaan
1. x²-2x+5=0
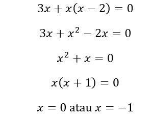
2. 3x+x(x-2)=0
3. 2y²-(y+2) (y-3)=12
jawablah pertanyaan ini menggunakan rumus.
berikan jawaban beserta caranya
15
1
Iklan
Muhammad R
06 Oktober 2025 07:22
No 1 menggunakan rumus kuadrat, karena gak bisa langsung d faktorin, thank u..



· 0.0 (0)
Iklan
Tanya ke AiRIS
Yuk, cobain chat dan belajar bareng AiRIS, teman pintarmu!

LATIHAN SOAL GRATIS!
Drill Soal
Latihan soal sesuai topik yang kamu mau untuk persiapan ujian


Perdalam pemahamanmu bersama Master Teacher
di sesi Live Teaching, GRATIS!