Anonim A
17 September 2025 12:19
Iklan
Anonim A
17 September 2025 12:19
Pertanyaan
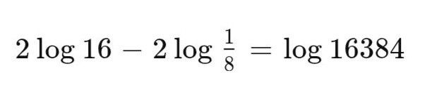
²log16 - ²log1/8
5
1
Iklan
Yulia K
17 September 2025 13:53
ini semoga benar

· 0.0 (0)
Iklan
Tanya ke AiRIS
Yuk, cobain chat dan belajar bareng AiRIS, teman pintarmu!

LATIHAN SOAL GRATIS!
Drill Soal
Latihan soal sesuai topik yang kamu mau untuk persiapan ujian


Perdalam pemahamanmu bersama Master Teacher
di sesi Live Teaching, GRATIS!